Beispiele für den Funktionenrechner (5b) Beispiele für den Funktionenrechner (5b)
Beispiel: Tief- und Hochpass
Beispiel: Tief- und Hochpass
Anwendungsbereich: Filterschaltungen
Anwendungsbereich: Filterschaltungen
Beispiel: LC - Bandpass
Beispiel: LC - Bandpass
Anwendungsbereich: Filterschaltungen
Anwendungsbereich: Filterschaltungen
TOP TOP Filterschaltungen Teil 2: Filterschaltungen Teil 2:
Beispiel: LC - Bandsperre
Beispiel: LC - Bandsperre
Anwendungsbereich: Filterschaltungen
Anwendungsbereich: Filterschaltungen
TOP TOP TOP TOP
Exponentialform: Beispiel LC - Bandpass
Exponentialform: Beispiel LC - Bandpass
Anwendungsbereich: Filterschaltungen
Anwendungsbereich: Filterschaltungen
Kartesische (arithmetische) Form - Polarform (Exponentialform)
Kartesische (arithmetische) Form - Polarform (Exponentialform)
mit Page n+1 Page n+1 Page n-1 Page n-1 TOP TOP
Die hier gezeigten exemplarischen Beispiele demonstrieren nicht nur den universellen Rechner- einsatz, sondern zeigen auch modifizierbare Lösungsstrategien im Umgang mit komplexen Schaltungen. Eingabehinweis: Ein Doppelklick im Eingabefenster löscht die akt. Eingabe. Die in den Beispielen entwickelten Formeln und Funktionen können direkt in die Eingabebereiche des „Kleinen Rechners“ kopiert werden (copy and paste). Bei Funktionsgleichungen wird der linke Teil incl. Gleichheitszeichen ignoriert. Winkelein- und Ausgaben können auf drei Arten erfolgen (Bogenmaß, Altgrad, Neugrad; siehe Hauptmaske „Taschenrechner“). Da in der Elektrotechnik in Verbindung mit Phasengängen usw. oft im „Altgrad- modus“ gerechnet wird, wählen Sie bitte in der Hauptmaske die Option Winkeleinstellung „Grad“! Um eine erstellte komplexe Formeln bezüglich der elektrischen Werte schnell variieren zu können, werden gerne Parameter (Platzhalter) innerhalb der Formeln verwendet. In Schaltungen werden z. B. oft mehrere Widerstände, Kondensatoren und Induktivitäten verwendet. Hier könnte es vorteilhaft sein, allgemein über eine (eigene) Verwendungsordnung nachzudenken. In den Beispielen werden meistens für ohmsche Widerstände R die Parameter „R“ und „W“ und bei Bedarf auch „U“ und „V“ , für elektrische Induktivitäten L die Parameter „L“ und „B“ und für elektrische Kapazitäten C die Parameter „C“ und „A“ verwendet. Beispiel: Verlustbehafteter Parallelschwingkreis: |Z Parallel (x)| = { [( { [ 1 / W ] / [ 1/W^2 + { 2*Pi*x*C - 1/(2*Pi*x*L) }^2 ] } )^2] + [( { [ 1 / (2*Pi*x*L) - 2*Pi*x*C ] / [ 1/W^2 + { 2*Pi*x*C - 1/(2*Pi*x*L) }^2 ] } )^2] }^0,5 Zugehörige Beispielparameterliste: Empfehlung: Löschen Sie vor der Eingabe die Parameterliste (Doppelklick auf Mülltonne). Falls Sie dann einen Parameter vergessen (oder fehlerhaft eingegeben) haben, erscheint nach einer Plotausgabe in der Parameterliste ein Fehlerhinweis (????)! Hier wurde kein Parameter eingetragen! Angezeigt werden alle verwendeten Parameter. Falls mehrere Kurven mit großen unterschiedlichen Wertebereichen übersichtlich in einem Koordinatensystem dargestellt werden sollen, ist es oft notwendig, Kurven dementsprechend zu skalieren. Dieses gilt hier oft für den Phasengang φ(f) mit φ(f)∈[ -180°; 180° ], der dem Ausgabewertebereich Y ∈ [ -0,2; 1,2] angepasst werden soll. Hier ist eine Stauchung mit dem Faktor 0,001 notwendig. f: x→f = c * ( φ(x) ); mit c=0,001 gilt: f: x→f = 0,001 * ( φ(x) ) Fehlerquelle: gesamten Term klammern! Die verwendeten Frequenzbereiche liegen i. Allg. zwischen 0 Hz und 10 kHz. Sie werden jeweils im Definitionsbereich eingestellt. (Entnehmen Sie hier die aktuellen Werte aus den Plotdarstellungen.) Der Wertebereich kann jederzeit im Ausgabefenster in Echtzeit angepasst werden. (Entnehmen Sie hier die aktuellen Werte aus den Plotdarstellungen.)
Parameterverwendungen:
Parameterverwendungen:
Funktionsgraphen skalieren (y-Achse):
Funktionsgraphen skalieren (y-Achse):
Abzisse (x-Achse):
Abzisse (x-Achse):
Hinweise für die hier vorgestellten Beispiele
Hinweise für die hier vorgestellten Beispiele
Winkelmodus:
Winkelmodus:
Akt. Modianzeige
Ordinate (y-Achse):
Ordinate (y-Achse):
TOP TOP
Passive Filter bestehen aus der Kombination von passiven Bauteilen wie z. B. Kondensatoren, Spulen und Widerstände. Grob formuliert gilt: Tiefpassfilter lassen Wechselspannungen bis zu ihrer Grenzfrequenz passieren, Hochpassfilter lassen Wechselspannungen ab ihrer Grenzfrequenz passieren. Es werden hier die Eigenschaften von unbelasteten Filtern untersucht. Innenwiderstände von Signalquellen sowie die Abschluss- bzw. Eingangswiderstände etwaiger Folgestufen werden hier nicht berücksichtigt. Exemplarisch wird hier der Spannungsverlauf der Ausgangsspannung U a am Kondensator im Verhältnis zur Eingangsspannung U e in Abhängigkeit der Frequenz ermittelt. Auch im komplexen Bereich gilt das 2. Kirchhoffsches Gesetz (Maschenregel) ∑ U = 0 In einer Reihenschaltung ist der fließende Strom in allen Widerständen gleich. Formel in Real- und Imaginärteil splitten: Variable x = f (ω = 2ℼf), Parameter L = L [H]; C = C [F]; R = R [Ω] Nenner: { [1-( 2*Pi*x)^2*C*L ]^2 + [ 2*Pi*x*C*R ]^2 } f 1 : |Z(x)| = {[( { [ 1-(2*Pi*x)^2*C*L ] / { [1-( 2*Pi*x)^2*C*L ]^2 + [ 2*Pi*x*C*R ]^2 } } )^2] +[( { [ -2*Pi*x*C*R ] / { [1-( 2*Pi*x)^2*C*L ]^2 + [ 2*Pi*x*C*R ]^2 } } )^2]}^0,5 φ(x) = arctan[ ( { [ -2*Pi*x*C*R ] / { [1-( 2*Pi*x)^2*C*L ]^2 + [ 2*Pi*x*C*R ]^2 } } ) / ( { [ 1-(2*Pi*x)^2*C*L ] / { [1-( 2*Pi*x)^2*C*L ]^2 + [ 2*Pi*x*C*R ]^2 } } ) ] Zur Darstellung des Phasengangs wird die Funktion φ gestaucht: φ*: x → φ*(x) = 0,001 * { φ(x) }. f 2 : φ*(x) = 0,001 * { arctan[ ( { [ -2*Pi*x*C*R ] / { [1-( 2*Pi*x)^2*C*L ]^2 + [ 2*Pi*x*C*R ]^2 } } ) / ( { [ 1-(2*Pi*x)^2*C*L ] / { [1-( 2*Pi*x)^2*C*L ]^2 + [ 2*Pi*x*C*R ]^2 } } ) ] } Um die Abhängigkeit der Übertragungsfunktion von dem Widerstandswert R übersichtlich darstellen zu können, sollen drei im Widerstandswert veränderbare unabhängige Kurven (rot, grün, magenta) dargestellt werden können. Hierfür werden zwei Kopien der Übertragungsfunktion erstellt und der Widerstand R durch die Parameter V und W ersetzt. f 3 : |Z(x)| = {[( { [ 1-(2*Pi*x)^2*C*L ] / { [1-( 2*Pi*x)^2*C*L ]^2 + [ 2*Pi*x*C*V ]^2 } } )^2] + [( { [ -2*Pi*x*C*V ] / { [1-( 2*Pi*x)^2*C*L ]^2 + [ 2*Pi*x*C*V ]^2 } } )^2]}^0,5 f 4 : |Z(x)| = {[( { [ 1-(2*Pi*x)^2*C*L ] / { [1-( 2*Pi*x)^2*C*L ]^2 + [ 2*Pi*x*C*W ]^2 } } )^2] + [( { [ -2*Pi*x*C*W ] / { [1-( 2*Pi*x)^2*C*L ]^2 + [ 2*Pi*x*C*W ]^2 } } )^2]}^0,5 Werte: X L : L = 10 mH (10e-3 H ) → L = 1eE-3; X C : C = 100 nF (100e-9 F) → C = 100E-9; Parameter R: R = 470 Ω (rot, blau) → R = 470; R = 300 Ω (grün); → V = 300; R = 5000 Ω (magenta); → W = 5000; Winkelmodus: Gradmaß (360°); Phasengang ist gestaucht → - 0,90° ≤ 0,001 * [ φ*(f) ] ≤ 0,90° ⇒ Der zulässige Widerstandsbereich (R) ist abhängig von der LC-Kombination. ⇐ Die Übertragungsfunktion G(ω) dieses Filter (Reihenschwingkreis) wurde bereits im Abschnitt Spannungsüberhöhungen indirekt berechnet. Formelerstellung: siehe Abschnitt „Spannungsüberhöhungen“ im Reihenschwingkreis. f 1 : |Z(x)| = {[( [ 1-1/[(2*Pi*x)^2*C*L] ] / [ { 1-1/[ (2*Pi*x)^2*C*L ] }^2 + { R /[2*Pi*x*L] }^2 ] )^2] + [( [ R /(2*Pi*x*L) ] / [ { 1-1/[ (2*Pi*x)^2*C*L ] }^2 + { R /[2*Pi*x*L] }^2 ] )^2]}^0,5 φ(x) = arctan[ ( [ R /(2*Pi*x*L) ] / [ { 1-1/[ (2*Pi*x)^2*C*L ] }^2 + { R /[2*Pi*x*L] }^2 ] ) / ( [ 1-1/[(2*Pi*x)^2*C*L] ] / [ { 1-1/[ (2*Pi*x)^2*C*L ] }^2 + { R /[2*Pi*x*L] }^2 ] ) ] Anmerkung: Phasengang gestaucht f 2 : φ*(x) = c * ( φ(x) ); hier: c = 0,001 f 2 : φ*(x) = 0,001 * { arctan[ ( [ R/(2*Pi*x*L) ] / [ { 1-1/[ (2*Pi*x)^2*C*L ] }^2 + { R/[2*Pi*x*L] }^2 ] ) / ( [ 1-1/[(2*Pi*x)^2*C*L] ] / [ { 1-1/[ (2*Pi*x)^2*C*L ] }^2 + { R/[2*Pi*x*L] }^2 ] ) ] } _______________________ f 3 : |Z(x)| = {[( [ 1-1/[(2*Pi*x)^2*C*L] ] / [ { 1-1/[ (2*Pi*x)^2*C*L ] }^2 + { V /[2*Pi*x*L] }^2 ] )^2] + [( [ V /(2*Pi*x*L) ] / [ { 1-1/[ (2*Pi*x)^2*C*L ] }^2 + { V /[2*Pi*x*L] }^2 ] )^2]}^0,5 f 4 : |Z(x)| = {[( [ 1-1/[(2*Pi*x)^2*C*L] ] / [ { 1-1/[ (2*Pi*x)^2*C*L ] }^2 + { W /[2*Pi*x*L] }^2 ] )^2] + [( [ W /(2*Pi*x*L) ] / [ { 1-1/[ (2*Pi*x)^2*C*L ] }^2 + { W /[2*Pi*x*L] }^2 ] )^2]}^0,5 Werte: X L : L = 10 mH (10e-3 H ) → L = 1eE-3; X C : C = 100 nF (100e-9 F) → C = 100E-9; Parameter R: R = 470 Ω (rot, blau) → R = 470; R = 300 Ω (grün); → V = 300; R = 5 kΩ (magenta); → W = 5000; Winkelmodus: Gradmaß (360°) Die magentafarbige Kurve nähert sich asymtotisch der Geraden y=1 (Ansicht z. B. f ∈ [0;100kHz]) _______________________________________________ Anregung: Wie durch die passende Veränderung der Parameter C, L und R gezeigt werden kann, zum Beispiel in der Kombination L 2 =100 mH, C 2 =10 nF (L 1 * C 1 = L 2 * C 2 ) und R 2 = 4,7 kΩ, generieren diese Werte ebenfalls die obige rote Übertragungskurve. Probieren Sie: Parameter für die Funktionsgleichungen f 1 und f 2 : R → R; C → C; L → L; Parameter für die Funktionsgleichungen f 3 und f 4 : R → W; C → A; L → B; f 1 : |Z(x)| = {[( [ 1-1/[(2*Pi*x)^2*C*L] ] / [ { 1-1/[ (2*Pi*x)^2*C* L ] }^2 + { R /[2*Pi*x*L] }^2 ] )^2] + [( [ R /(2*Pi*x*L) ] / [ { 1-1/[ (2*Pi*x)^2*C* L ] }^2 + { R /[2*Pi*x*L] }^2 ] )^2]}^0,5 f 3 : |Z(x)| = {[( [ 1-1/[(2*Pi*x)^2*A*B] ] / [ { 1-1/[ (2*Pi*x)^2*A* B ] }^2 + { W /[2*Pi*x*B] }^2 ] )^2] + [( [ W /(2*Pi*x*B) ] / [ { 1-1/[ (2*Pi*x)^2*A* B ] }^2 + { W /[2*Pi*x*B] }^2 ] )^2]}^0,5 f 2 : φ*(x) = 0,001 * { arctan[ ( [ R/(2*Pi*x* L) ] / [ { 1-1/[ (2*Pi*x)^2*C* L ] }^2 + { R/[2*Pi*x*L] }^2 ] ) / ( [ 1-1/[(2*Pi*x)^2*C*L] ] / [ { 1-1/[ (2*Pi*x)^2*C* L ] }^2 + { R/[2*Pi*x*L] }^2 ] ) ] } f 4 : φ*(x) = 0,001 * { arctan[ ( [ W/(2*Pi*x*B) ] / [ { 1-1/[ (2*Pi*x)^2*A* B ] }^2 + { W/[2*Pi*x*B] }^2 ] ) / ( [ 1-1/[(2*Pi*x)^2*A*B] ] / [ { 1-1/[ (2*Pi*x)^2*A* B ] }^2 + { W/[2*Pi*x*B] }^2 ] ) ] } Beispiel: R = 470; C = 100E-9; L = 10E-3; W = 4700; A = 10E-9; B = 100E-3 (Verwenden Sie im Plotfenster den Modus „Full Screen“ und schalten Sie temporär f 3 und f 4 aus)
Term konjugiert komplex erweitern
U e
U a
X C
X L
R
Formelumsetzungen für Plotausgaben
Formelumsetzungen für Plotausgaben
Bezeichnungen:
Bezeichnungen:
Ansatz:
Ansatz:
Formelerstellung:
Formelerstellung:
U L + U R + U a - U e = 0 ⇒ U e = U L + U R + U a
Berechnungen:
Berechnungen:
Tiefpassfilter:
Tiefpassfilter:
Hochpassfilter:
Hochpassfilter:
U a
U e
X C
X L
R
Formelumsetzungen für Plotausgaben
Formelumsetzungen für Plotausgaben
Schaltung und Formel:
Schaltung und Formel:
Hochpass - Übertagungsfunktionen; Phasengang φ(f) mit dem Faktor 0,001 gestaucht (blau)
Tiefpass - Übertagungsfunktionen; Phasengang φ(f) mit dem Faktor 0,001 gestaucht (blau)
U e
U a
X C
X L
R
Realteil = { [ 1-(2*Pi*x)^2*C*L ] / { [1-( 2*Pi*x)^2*C*L ]^2 + [ 2*Pi*x*C*R ]^2 } } Imaginärteil = { [ -2*Pi*x*C*R ] / { [1-( 2*Pi*x)^2*C*L ]^2 + [ 2*Pi*x*C*R ]^2 } }
Realteil = [ 1-1/[(2*Pi*x)^2*C*L] ] / [ { 1-1/[ (2*Pi*x)^2*C*L ] }^2 + { R/[2*Pi*x*L] }^2 ] Imaginärteil = [ R/(2*Pi*x*L) ] / [ { 1-1/[ (2*Pi*x)^2*C*L ] }^2 + { R/[2*Pi*x*L] }^2 ]
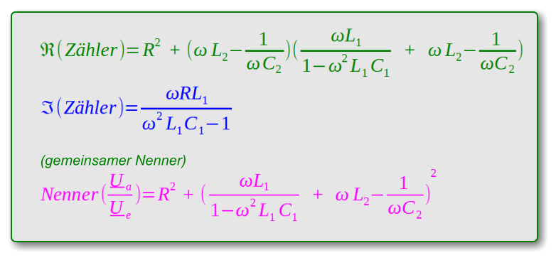
Filterschaltungen (aktive und passive) sperren bestimmte Frequenzbereiche aus einem breiten Frequenzgemisch oder lassen diese durch. Ein Bandpass überträgt ein nach unten und oben begrenztes Frequenzband (f L -f 0 -f H ). Eine Bandsperre sperrt ein nach unten und oben begrenztes Frequenzband. Bandsperren, auch Bandstopp Filter genannt, sperren die Übertragung eines vorgegebenen Frequenzbereichs (Frequenzband). Passive Bandsperren bestehen nur aus passiven Bauelementen. Ausgehend von den Formeln für idealen Parallel- und realen Reihen- schwingkreise wird die Übertragungsfunktion erstellt. Da u. a. der Funktionsgraf dieser Funktion vom Programm „Kleiner Rechner“ geplottet werden soll - hier spielt die Formellänge keine wesentliche Rolle - ist es nicht Ziel, eine bis ins Kleinste optimierte (fehlerträchtige) Formel zu erstellen. Übertragungsfunktion Idealer Parallelschwingkreis Realer Reihenschwingkreis: Da der Hauptnenner der obigen Übertragungsfunktion real ist, kann der komplexe Zähler getrennt weiter umgeformt werden. Die Zusammenführung erfolgt nach der Zerlegung des Zählers in seine real- und Imaginärteile. Neben der Variablen x, x = f sollen nachfolgende Parameter verwendet werden. Parallelschwingkreis (Z 1 ): C = C 1 [F]; L = L 1 [H]; Reihenschwingkreis (Z 2 ): A = C 2 [F]; B = L 2 [H]; R = R [Ω] ____________________ Nenner = { R^2 + ( 2*Pi*x*L / (1-(2*Pi*x)^2*L*C ) + 2*Pi*x*B - 1/(2*Pi*x*A) )^2 } Re(Zähler) = { R^2 + [ 2*Pi*x*B -1/(2*Pi*x*A) ]*[ 2*Pi*x*L/(1-(2*Pi*x)^2*L*C) + 2*Pi*x*B - 1/(2*Pi*x*A) ] } Im(Zähler) = { 2*Pi*x*R*L / ( (2*Pi*x)^2*L*C-1 ) } Hieraus ergibt sich für den Real- und dem Imaginärteil der Übertragungsfunktion: Der Real- und der Imaginärteil werden in die Formelgerüste eingesetzt und ergeben die direkt kopierbaren Formeln. |Z(x)| = {[( Re )^2] + [( Im )^2]}^0,5 φ(x) = arctan[ ( Im ) / ( Re ) ] (mit Re ≠ 0; Winkeleinstellung: Altgrad 360°) f 1 : |Z(x)| = {[( { R^2 + [ 2*Pi*x*B -1/(2*Pi*x*A) ]*[ 2*Pi*x*L/(1-(2*Pi*x)^2*L*C) + 2*Pi*x*B - 1/(2*Pi*x*A) ] } / { R^2 + ( 2*Pi*x*L / (1-(2*Pi*x)^2*L*C ) + 2*Pi*x*B - 1/(2*Pi*x*A) )^2 } )^2] + [( { 2*Pi*x*R*L / ( (2*Pi*x)^2*L*C-1 ) } / { R^2 + ( 2*Pi*x*L / (1-(2*Pi*x)^2*L*C ) + 2*Pi*x*B - 1/(2*Pi*x*A) )^2 } )^2]}^0,5 φ(x) = arctan[ ( { 2*Pi*x*R*L / ( (2*Pi*x)^2*L*C-1 ) } / { R^2 + ( 2*Pi*x*L / (1-(2*Pi*x)^2*L*C ) + 2*Pi*x*B - 1/(2*Pi*x*A) )^2 } ) / ( { R^2 + [ 2*Pi*x*B -1/(2*Pi*x*A) ]*[ 2*Pi*x*L/(1-(2*Pi*x)^2*L*C) + 2*Pi*x*B - 1/(2*Pi*x*A) ] } / { R^2 + ( 2*Pi*x*L / (1-(2*Pi*x)^2*L*C ) + 2*Pi*x*B - 1/(2*Pi*x*A) )^2 } ) ] Der Phasengang wird gestaucht, Stauchungsfaktor = 0,005: f 2 : φ*(x) = 0,005 * { arctan[ ( { 2*Pi*x*R*L / ( (2*Pi*x)^2*L*C-1 ) } / { R^2 + ( 2*Pi*x*L / (1-(2*Pi*x)^2*L*C ) + 2*Pi*x*B - 1/(2*Pi*x*A) )^2 } ) / ( { R^2 + [ 2*Pi*x*B -1/(2*Pi*x*A) ]*[ 2*Pi*x*L/(1-(2*Pi*x)^2*L*C) + 2*Pi*x*B - 1/(2*Pi*x*A) ] } / { R^2 + ( 2*Pi*x*L / (1-(2*Pi*x)^2*L*C ) + 2*Pi*x*B - 1/(2*Pi*x*A) )^2 } ) ] } f 3 : 3dB-Grenze = 0,708 Werte: X L1 : L 1 = 10 mH → L = 10E-3; X C1 : C 1 = 100 nF → C = 100E-9; X L2 : L 2 = 10 mH → B = 10E-3, X C2 : C 2 = 100 nF → A = 100E-9; R = 4,7 kΩ → R = 4700 Die obigen Kurvenverläufe zeigen eine Bandsperre mit der Sperrfrequenz f 0 = 5033 Hz und einer Bandbreite (- 3 db) von ca. 340 Hz mit den Grenzfrequenzen f L ≈ 4870 Hz und f H ≈ 5205 Hz. Zur Erstellung der Funktionsgleichungen wird die obige Funktionsgleichung f 1 modifiziert. f 2 : |Z(x)| = {[( { U^2 + [ 2*Pi*x*B -1/(2*Pi*x*A) ]*[ 2*Pi*x*L/(1-(2*Pi*x)^2*L*C) + 2*Pi*x*B - 1/(2*Pi*x*A) ] } / { U^2 + ( 2*Pi*x*L / (1-(2*Pi*x)^2*L*C ) + 2*Pi*x*B - 1/(2*Pi*x*A) )^2 } )^2] + [( { 2*Pi*x*U*L / ( (2*Pi*x)^2*L*C-1 ) } / { U^2 + ( 2*Pi*x*L / (1-(2*Pi*x)^2*L*C ) + 2*Pi*x*B - 1/(2*Pi*x*A) )^2 } )^2]}^0,5 f 3 : |Z(x)| = {[( { V^2 + [ 2*Pi*x*B -1/(2*Pi*x*A) ]*[ 2*Pi*x*L/(1-(2*Pi*x)^2*L*C) + 2*Pi*x*B - 1/(2*Pi*x*A) ] } / { V^2 + ( 2*Pi*x*L / (1-(2*Pi*x)^2*L*C ) + 2*Pi*x*B - 1/(2*Pi*x*A) )^2 } )^2] + [( { 2*Pi*x*V*L / ( (2*Pi*x)^2*L*C-1 ) } / { V^2 + ( 2*Pi*x*L / (1-(2*Pi*x)^2*L*C ) + 2*Pi*x*B - 1/(2*Pi*x*A) )^2 } )^2]}^0,5 f 4 : |Z(x)| = {[( { W^2 + [ 2*Pi*x*B -1/(2*Pi*x*A) ]*[ 2*Pi*x*L/(1-(2*Pi*x)^2*L*C) + 2*Pi*x*B - 1/(2*Pi*x*A) ] } / { W^2 + ( 2*Pi*x*L / (1-(2*Pi*x)^2*L*C ) + 2*Pi*x*B - 1/(2*Pi*x*A) )^2 } )^2] + [( { 2*Pi*x*W*L / ( (2*Pi*x)^2*L*C-1 ) } / { W^2 + ( 2*Pi*x*L / (1-(2*Pi*x)^2*L*C ) + 2*Pi*x*B - 1/(2*Pi*x*A) )^2 } )^2]}^0,5 Werte: Paralleschwingkreis: X L1 : L 1 = 10 mH → L = 10E-3; X C1 : C 1 = 100 nF → C = 100E-9; Reihenschingkreis: X L2 : L = 10 mH → B = 10E-3, X C2 : C 2 = 100 nF → A = 100E-9; Für den Widerstand R wurden die nachfolgenden Parameter verwendet: R r (rot) = 4,7 kΩ → R = 4700; R b (blau) = 270 Ω → U = 270; R g (grün) = 1 kΩ → V = 1000; R m (magenta) = 15 kΩ → W = 15000; Die Kurven (grün, blau) der einzelnen Übertragungsfunktionen zeigen deutlich den Einfluss einer Spannungsüberhöhungen (durch Fehlanpassungen) am Reihenschwingkreis. _______________________________________________ Anregung: Wie durch die passende Veränderung der Parameter C, L und R gezeigt werden kann, zum Beispiel in der Kombination L 2 =100 mH, C 2 =10 nF (L 1 * C 1 = L 2 * C 2 ) und R 2 = 4,7 kΩ, generieren diese Werte ebenfalls die obige rote Übertragungskurve. Probieren Sie: Parameter für die Funktionsgleichungen f 1 und f 2 : R → R; C → C; L → L; Parameter für die Funktionsgleichungen f 3 und f 4 : R → W; C → A; L → B; f 1 : |Z(x)| = {[( { R^2 + [ 2*Pi*x*L -1/(2*Pi*x*C) ]*[ 2*Pi*x*L/(1-(2*Pi*x)^2*L*C) + 2*Pi*x*L - 1/(2*Pi*x*C) ] } / { R^2 + ( 2*Pi*x*L / (1-(2*Pi*x)^2*L*C ) + 2*Pi*x*L - 1/(2*Pi*x*C) )^2 } )^2] + [( { 2*Pi*x*R*L / ( (2*Pi*x)^2*L*C-1 ) } / { R^2 + ( 2*Pi*x*L / (1-(2*Pi*x)^2*L*C ) + 2*Pi*x*L - 1/(2*Pi*x*C) )^2 } )^2]}^0,5 f 3 : |Z(x)| = {[( { W^2 + [ 2*Pi*x*B -1/(2*Pi*x*A) ]*[ 2*Pi*x*B/(1-(2*Pi*x)^2*B*A) + 2*Pi*x*B - 1/(2*Pi*x*A) ] } / {W^2 + ( 2*Pi*x*B / (1-(2*Pi*x)^2*B*A ) + 2*Pi*x*B - 1/(2*Pi*x*A) )^2 } )^2] + [( { 2*Pi*x*W*B / ( (2*Pi*x)^2*B*A-1 ) } / { W^2 + ( 2*Pi*x*B / (1-(2*Pi*x)^2*B*A ) + 2*Pi*x*B - 1/(2*Pi*x*A) )^2 } )^2]}^0,5 f 2 : φ*(x) = 0,005 * { arctan[ ( { 2*Pi*x*R* L / ( (2*Pi*x)^2*L*C-1 ) } / { R^2 + ( 2*Pi*x* L / (1-(2*Pi*x)^2*L* C ) + 2*Pi*x* L - 1/(2*Pi*x*C) )^2 } ) / ( { R^2 + [ 2*Pi*x* L -1/(2*Pi*x*C) ]*[ 2*Pi*x*L/(1-(2*Pi*x)^2*L*C) + 2*Pi*x* L - 1/(2*Pi*x*C) ] } / { R^2 + ( 2*Pi*x* L / (1-(2*Pi*x)^2*L* C ) + 2*Pi*x* L - 1/(2*Pi*x*C) )^2 })]} f 4 : φ*(x) = 0,005 * { arctan[ ( { 2*Pi*x*W* B / ( (2*Pi*x)^2*B*A-1 ) } / { W^2 + ( 2*Pi*x* B / (1-(2*Pi*x)^2*B* A ) + 2*Pi*x* B - 1/(2*Pi*x*A) )^2 } ) / ( { W^2 + [ 2*Pi*x* B -1/(2*Pi*x*A) ]*[ 2*Pi*x*B/(1-(2*Pi*x)^2*B*A) + 2*Pi*x* B - 1/(2*Pi*x*A) ] } / { W^2 + ( 2*Pi*x* B / (1-(2*Pi*x)^2*B* A ) + 2*Pi*x* B - 1/(2*Pi*x*A) )^2 })]} Beispiel (für f 1 , f 2 ): R = 4700; C = 100E-9; L = 10E-3; (für f 3 , f 4 ): W = 47E3; A = 10E-9; B = 100E-3 (Schalten Sie temporär f 3 und f 4 im Plotfenster aus) Probieren Sie auch: R = 4700; C = 100e-9; L = 10e-3; W = 2700; A= 200e-9; B = 10e-3; Empfehlung: x ∈ [ 0; 10000 ] und y ∈ [ -0,5; 1,5 ] bzw. x ∈ [ 2000; 6000 ]
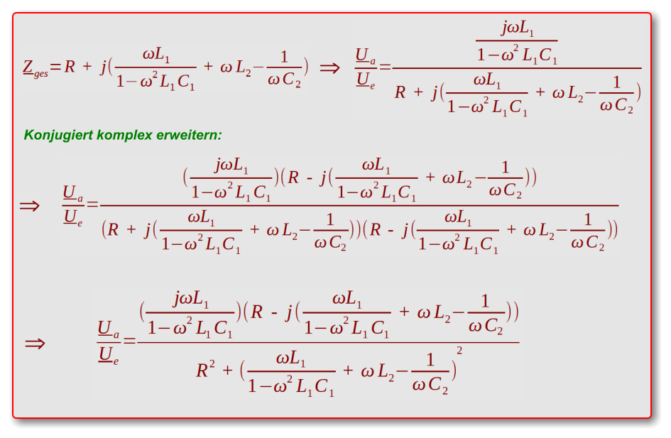
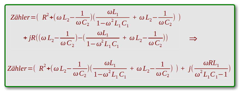
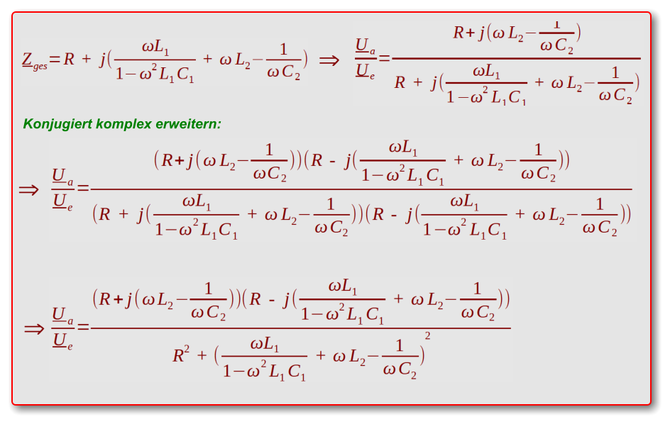
Konjugiert komplex erweitern: Der Zähler wird mittels Substitutionen übersichtlich als Produkt zweier Klammern dargestellt. und berechnet. (gemeinsamer Nenner)
Passive Bandsperre:
Passive Bandsperre:
Ansatz und formale Berechnungen:
Ansatz und formale Berechnungen:
Formelerstellung:
Formelerstellung:
X L1
X L2
X C1
X C2
R
U a
U e
Formelaufbereitung für die Programmeingabe
Formelaufbereitung für die Programmeingabe
Vergleich:   Übertragungsfunktionen in Abhängigkeit vom Reihenschwingkreiswiderstand R
***   Übertragungsfunktion (rot)    Phasengang (blau)    Bandbreite - 3db Linie (grün)   ***
Passive Bandpässe und Bandsperren
Passive Bandpässe und Bandsperren
mit
X L1
X L2
X C1
X C2
R
U a
U e
Realteil = { R^2 + [ 2*Pi*x*B -1/(2*Pi*x*A) ]*[ 2*Pi*x*L/(1-(2*Pi*x)^2*L*C) + 2*Pi*x*B - 1/(2*Pi*x*A) ] } / { R^2 + ( 2*Pi*x*L / (1-(2*Pi*x)^2*L*C ) + 2*Pi*x*B - 1/(2*Pi*x*A) )^2 } Imaginärteil = { 2*Pi*x*R*L / ( (2*Pi*x)^2*L*C-1 ) } / { R^2 + ( 2*Pi*x*L / (1-(2*Pi*x)^2*L*C ) + 2*Pi*x*B - 1/(2*Pi*x*A) )^2 }
Übertragungsfunktionen in Abhängigkeit vom Widerstand R:
Übertragungsfunktionen in Abhängigkeit vom Widerstand R:
X L1
X L2
X C1
X C2
R
U a
U e
Filterschaltungen (aktive und passive) sperren bestimmte Frequenzbereiche aus einem breiten Frequenzgemisch oder lassen diese durch. Ein Bandpass (auch Bandbreitenfilter) überträgt ein nach unten und oben begrenztes Frequenzband (f L -f 0 -f H ). Eine Bandsperre sperrt ein nach unten und oben begrenztes Frequenzband. Passive Bandsperren bestehen nur aus passiven Bauelementen. Ausgehend von den Formeln für idealen Parallel- und reale Reihen- schwingkreise wird die Übertragungsfunktion erstellt. Da u. a. der Funktionsgraf dieser Funktion vom Programm „Kleiner Rechner“ geplottet werden soll - hier spielt die Formellänge keine wesentliche Rolle - ist es nicht Ziel, eine bis ins Kleinste optimierte (fehlerträchtige) Formel zu erstellen. Übertragungsfunktion Idealer Parallelschwingkreis Realer Reihenschwingkreis: (Sperrkreis) (Saugkreis) Da der Hauptnenner der obigen Übertragungsfunktion real ist, kann der komplexe Zähler getrennt weiter umgeformt werden. Die Zusammenführung erfolgt nach der Zerlegung des Zählers in seine real- und Imaginärteile. Zur weiteren übersichtlichen Fortführung der Termumformungen werden Zähler und Nenner der Übertragungsfunktion nun getrennt umgeformt und anschließend wieder zusammengefügt. Der Nenner kann als ausreichend umgeformt betrachtet werden. Zusammenfassend gilt: Neben der Variablen x, x = f sollen nachfolgende Parameter verwendet werden. Parallelschwingkreis (Z 1 ) X C1 : C 1 [F] ⇒ C; X L1 : L 1 [H] ⇒ L; Reihenschwingkreis (Z 2 ) X C2 : C 2 [F] ⇒ A; X L2 : L 2 [H] ⇒ B; R [Ω] ⇒ R ____________________ Nenner = { R^2 + ( 2*Pi*x*L / (1-(2*Pi*x)^2*L*C ) + 2*Pi*x*B - 1/(2*Pi*x*A) )^2 } Re(Zaehler) = { [2*Pi*x*L/(1-(2*Pi*x)^2*L*C)]*[ 2*Pi*x*L / (1-(2*Pi*x)^2*L*C) + 2*Pi*x*B - 1/(2*Pi*x*A) ] } Im(Zaehler) = { 2*Pi*x*R*L/(1-(2*Pi*x)^2*L*C) } Hieraus ergeben sich für den Real- und den Imaginärteil der Übertragungsfunktion: Der Real- und der Imaginärteil werden in die Formelgerüste eingesetzt und ergeben die direkt kopierbaren Formeln. f 1 : |Z(x)| = {[( { [2*Pi*x*L/(1-(2*Pi*x)^2*L*C)]*[ 2*Pi*x*L / (1-(2*Pi*x)^2*L*C) + 2*Pi*x*B - 1/(2*Pi*x*A) ] } / { R^2 + ( 2*Pi*x*L / (1-(2*Pi*x)^2*L*C ) + 2*Pi*x*B - 1/(2*Pi*x*A) )^2 } )^2] + [( { 2*Pi*x*R*L/(1-(2*Pi*x)^2*L*C) } / { R^2 + ( 2*Pi*x*L / (1-(2*Pi*x)^2*L*C ) + 2*Pi*x*B - 1/(2*Pi*x*A) )^2 } )^2]}^0,5 f 2 : |Z(x)| = {[( { [2*Pi*x*L/(1-(2*Pi*x)^2*L*C)]*[ 2*Pi*x*L / (1-(2*Pi*x)^2*L*C) + 2*Pi*x*B - 1/(2*Pi*x*A) ] } / { V^2 + ( 2*Pi*x*L / (1-(2*Pi*x)^2*L*C ) + 2*Pi*x*B - 1/(2*Pi*x*A) )^2 } )^2] + [( { 2*Pi*x*V*L/(1-(2*Pi*x)^2*L*C) } / { V^2 + ( 2*Pi*x*L / (1-(2*Pi*x)^2*L*C ) + 2*Pi*x*B - 1/(2*Pi*x*A) )^2 } )^2]}^0,5 f 3 : |Z(x)| = {[( { [2*Pi*x*L/(1-(2*Pi*x)^2*L*C)]*[ 2*Pi*x*L / (1-(2*Pi*x)^2*L*C) + 2*Pi*x*B - 1/(2*Pi*x*A) ] } / { W^2 + ( 2*Pi*x*L / (1-(2*Pi*x)^2*L*C ) + 2*Pi*x*B - 1/(2*Pi*x*A) )^2 } )^2] + [( { 2*Pi*x*W*L/(1-(2*Pi*x)^2*L*C) } / { W^2 + ( 2*Pi*x*L / (1-(2*Pi*x)^2*L*C ) + 2*Pi*x*B - 1/(2*Pi*x*A) )^2 } )^2]}^0,5 Werte X L1 : L 1 = 10 mH (10e-3 H ) → L = 10E-3; X C1 : C 1 = 100 nF (100e-9 F) → C = 100E-9; X L2 : L 2 = 10 mH → B = 10E-3; X C2 : C 2 = 100 nF → A = 100E-9; Parameter R: R r = 1,2 kΩ (rot) R = 1200; R b = 4,7 kΩ (blau) V = 4700; R g = 320 Ω (grün) W = 320; Die obigen Übertragungsfunktionen zeigen drei Bandpässe mit der Mittelfrequenz f 0 = 5033 Hz. Die Kondensatoren und Spulen haben gleiche Werte (L 1 =L 2 ; C 1 =C 2 ). Experimente mit unterschiedlichen Werte (L 1 ≠L 2 ; C 1 ≠C 2 usw.) bieten sich hier an. Aus den Spreizungen der Kurven lassen sich die folgenden Werte ablesen: für R = 1,2 kΩ → f L = 4372 Hz; f 0 = 5033 Hz; f H = 5793 Hz für R = 4,7 kΩ → f L = 4865 Hz; f 0 = 5033 Hz; f H = 5205 Hz Hier werden einmal die (obige) Übertragungsfunktion incl. ihrer Real- und Imaginärteile als Funktionsgraphen zur Übersicht bzw. zur Untersuchung ausgegeben. f 1 : |Z(x)| = {[( { [2*Pi*x*L/(1-(2*Pi*x)^2*L*C)]*[ 2*Pi*x*L / (1-(2*Pi*x)^2*L*C) + 2*Pi*x*B - 1/(2*Pi*x*A) ] } / { R^2 + ( 2*Pi*x*L / (1-(2*Pi*x)^2*L*C ) + 2*Pi*x*B - 1/(2*Pi*x*A) )^2 } )^2] + [( { 2*Pi*x*R*L/(1-(2*Pi*x)^2*L*C) } / { R^2 + ( 2*Pi*x*L / (1-(2*Pi*x)^2*L*C ) + 2*Pi*x*B - 1/(2*Pi*x*A) )^2 } )^2]}^0,5 f 2 : Im(Z) = { 2*Pi*x*R*L/(1-(2*Pi*x)^2*L*C) } / { R^2 + ( 2*Pi*x*L / (1-(2*Pi*x)^2*L*C ) + 2*Pi*x*B - 1/(2*Pi*x*A) )^2 } f 3 : Re(Z) = { [2*Pi*x*L/(1-(2*Pi*x)^2*L*C)]*[ 2*Pi*x*L / (1-(2*Pi*x)^2*L*C) + 2*Pi*x*B - 1/(2*Pi*x*A) ] } / { R^2 + ( 2*Pi*x*L / (1-(2*Pi*x)^2*L*C ) + 2*Pi*x*B - 1/(2*Pi*x*A) )^2 } Werte: X L1 : L 1 = 10 mH → L = 10e-3; X C1 : C 1 = 100 nF → C = 100e-9; X L2 : L 2 = 10 mH → B = 10e-3; X C2 : C 2 = 100 nF → A = 100e-9; R = 1,2 kΩ → R 1200; Die Kurven zeigen die zur jeweiligen Frequenz zugehörigen Vektorenlän- gen des Summenvektors Z = [a 2 +b 2 ] 0,5 , des Realteilvektors a = Re(Z) und des Imaginärteilvektors b = Im(Z) an.
Konjugiert komplex erweitern: (gemeinsamer Nenner)
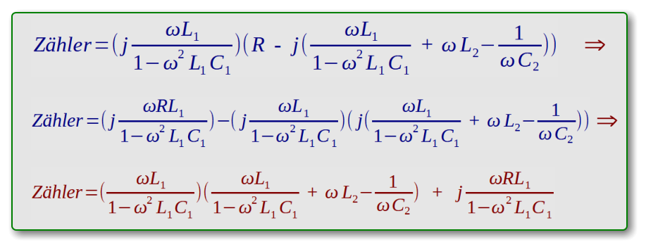
Passiver Bandpass:
Passiver Bandpass:
Ansatz und formale Berechnungen:
Ansatz und formale Berechnungen:
Formelerstellung:
Formelerstellung:
Formelaufbereitung für die Programmeingabe
Formelaufbereitung für die Programmeingabe
Ausschnitt (Spreizung) der obigen Übertragungsfunktionen; Bandbreite 3 dB Grenze (magenta)
Übertragungsfunktionen (rot, blau, grün)    Bandbreite - 3db Linie (magenta)
Passive Bandpässe und Bandsperren
Passive Bandpässe und Bandsperren
X L1
X L2
X C1
X C2
R
U a
U e
mit
X L1
X L2
X C1
X C2
R
U a
U e
Realteil = { [2*Pi*x*L/(1-(2*Pi*x)^2*L*C)]*[ 2*Pi*x*L / (1-(2*Pi*x)^2*L*C) + 2*Pi*x*B - 1/(2*Pi*x*A) ] } / { R^2 + ( 2*Pi*x*L / (1-(2*Pi*x)^2*L*C ) + 2*Pi*x*B - 1/(2*Pi*x*A) )^2 } Imaginärteil = { 2*Pi*x*R*L/(1-(2*Pi*x)^2*L*C) } / { R^2 + ( 2*Pi*x*L / (1-(2*Pi*x)^2*L*C ) + 2*Pi*x*B - 1/(2*Pi*x*A) )^2 }
Real- und Imaginärteile der Übertragungsfunktion
Real- und Imaginärteile der Übertragungsfunktion
Übertragungsfunktion  f1 (rot);      Imaginärteil  f2 (blau);     Realtteil  f3 (grün);
Realteil = { [2*Pi*x*L/(1-(2*Pi*x)^2*L*C)]*[ 2*Pi*x*L / (1-(2*Pi*x)^2*L*C) + 2*Pi*x*B - 1/(2*Pi*x*A) ] } / { R^2 + ( 2*Pi*x*L / (1-(2*Pi*x)^2*L*C ) + 2*Pi*x*B - 1/(2*Pi*x*A) )^2 } Imaginärteil = { 2*Pi*x*R*L/(1-(2*Pi*x)^2*L*C) } / { R^2 + ( 2*Pi*x*L / (1-(2*Pi*x)^2*L*C ) + 2*Pi*x*B - 1/(2*Pi*x*A) )^2 }
Ein Vorteil der Polarform sind u. a. die (relativ) einfachen Berechnungen von Produkten und Quotienten. Dieses kann bei der Aufstellung der Übertragungsfunktion zu vereinfachten Rechnungen führen. Ausgehend von den Formeln für idealen Parallel- und reale Reihen- schwingkreise wird die Übertragungsfunktion erstellt (siehe auch LC- Bandpass). Übertragungsfunktion Komplexe Widerstände Zur Berechnung der Übertragungsfunktionskurve |G(x)| und der Phasengangkurve werden die Real- und Imaginärteile des komplexen Gesamtwiderstandes und des Widerstandes Z1 benötigt. Neben der Variablen x, x = f sollen nachfolgende Parameter verwendet werden. Parallelschwingkreis (Z 1 ): C 1 [F] ⇒ C; L 1 [H] ⇒ L; Reihenschwingkreis (Z 2 ): C 2 [F] ⇒ A; L 2 [H] ⇒ B; R [Ω] ⇒ R (Reihenschaltung Saugkreis + Sperrkreis) |G(x)| = |Z1(x)| / |Zges(x)| f 1 : |G(x)| = [ {[( 0 )^2] + [( { 2*Pi*x*L / (1-(2*Pi*x)^2*L*C) } )^2]}^0,5 ] / [ {[( R )^2] + [( { 2*Pi*x*L / (1-(2*Pi*x)^2*L*C ) + 2*Pi*x*B - 1/(2*Pi*x*A) } )^2]}^0,5 ] Zur Darstellung der Graphen f 2 und f 3 (Parameter U und V statt R): f 2 : |G(x)| = [ {[( 0 )^2] + [( { 2*Pi*x*L / (1-(2*Pi*x)^2*L*C) } )^2]}^0,5 ] / [ {[( V )^2] + [( { 2*Pi*x*L / (1-(2*Pi*x)^2*L*C ) + 2*Pi*x*B - 1/(2*Pi*x*A) } )^2]}^0,5 ] f 3 : |G(x)| = [ {[( 0 )^2] + [( { 2*Pi*x*L / (1-(2*Pi*x)^2*L*C) } )^2]}^0,5 ] / [ {[( W )^2] + [( { 2*Pi*x*L / (1-(2*Pi*x)^2*L*C ) + 2*Pi*x*B - 1/(2*Pi*x*A) } )^2]}^0,5 ] Werte: X L1 : L 1 = 10 mH → L = 10E-3; X C1 : C 1 = 100 nF → C = 100E-9; X L2 : L 2 = 10 mH → B = 10E-3; X C2 : C 2 = 100 nF → A = 100E-9; R f1 = 1,2 kΩ (rot) → R = 1200; R f2 = 4,7 kΩ (blau) → V = 4700; R f3 = 320 Ω (grün) → W = 320; Reesüme: Wie das Beispiel zeigt, können gezielte Verwendungen der Polarformen oft zu einfacheren und schnelleren Umformungen führen.
Die Polarform (oder Exponentialdarstellung)    Multiplikation und Division:
Passiver Bandpass:
Passiver Bandpass:
Ansatz und formale Berechnungen:
Ansatz und formale Berechnungen:
Formelerstellung:
Formelerstellung:
Übertragungsfunktionen (rot, blau, grün) Bandbreite - 3db Linie (magenta)
Vorbetrachtungen
Vorbetrachtungen
X L1
X L2
X C1
X C2
R
U a
U e
X L1
X L2
X C1
X C2
R
U a
U e
Gesamtwiderstand: idealer Parallelschwingkreis: Realer Reihenschwingkreis:
Formelaufbereitung für die Programmeingabe
Formelaufbereitung für die Programmeingabe
Realteil = 0 Imaginärteil = { 2*Pi*x*L / (1-(2*Pi*x)^2*L*C) }
Realteil = R Imaginärteil = { 2*Pi*x*L / (1-(2*Pi*x)^2*L*C ) + 2*Pi*x*B - 1/(2*Pi*x*A) }
Widerstand Z1 des parallelen Schwingkreises (Sperrkreis):
Widerstand Z1 des parallelen Schwingkreises (Sperrkreis):
Gesamtwiderstand Z ges der Schaltung:
Gesamtwiderstand Z ges der Schaltung:
Für die Übertragungsfunktion gilt nun:
Für die Übertragungsfunktion gilt nun:
Re Im b a φ Z b a