Anwendungsbeispiel: In diesem Beispiel soll das nachfolgende Summenergebnis, welches z: B. in handschriftlicher Form vorliegt, kontrolliert werden. Empfehlung: Wählen Sie die kaufmännische Ansicht mit dem linksstehenden Switch. 12,35 + 41,34 + 13,20 + 15,60 + 14,00 + 32,50 + 31,50 - 5,35 * 9,00 + 22,40 + 31,20 + 24,00 - 23,05 - 17,30 - 22,10 + 16,70 + 2,45 * 7,00 + 23,50 + 12,30 + 47,25 + 98,80 / 8,00 + 23,30 - 3,55-24,10 + 33,80 + 2,35 * 6,00 + 17,50 = 317,79 Da die handschriftliche Vorlage nicht in die PC-Zwischenablage kopiert werden kann, müssen die Werte in den Taschenrechner per Hand (Tastatur, Maus) eingegeben werden. Zur Übung: Daten der aktuellen Handeingaben (siehe Protokoll). 12,35+41,34+13,20+15,60+14,00+32,50+31,50-5,35*9,00+22,40+31,20+24,00-23,05-17,30- 22,10+16,07+2,45*7,00+23,50+12,30+47,25+98,80/8,00+23,30-3,55-24,10+33,80+2,35*6,00+17,50 = 317,16 Wie das Ergebnis zeigt, sind die Gesamtsummen (317,79 € ≠ 317,16 € ) nicht gleich. Die Überprüfungen der Summanden in der Spaltenansicht oder im Protokoll zeigen, dass bei der Eingabe ein Zahlendreher (Spalte 16: 16,07 statt 16,70) aufgetreten ist. Es gibt nun viele Möglichkeiten, die Eingabe einfach und schnell zu korrigieren. Neben den Korrekturen in Verbindungen mit Textverarbeitungsprogrammen bzw. Texteditoren oder auch direkt im Eingabefenster soll hier exemplarisch der Weg mittels des programmeigenen Editors und Formelspeichers gezeigt werden. Der Editor unterliegt keiner Eingabenkontrolle. 1. Aus dem Protokoll (siehe oben) werden die (markierten) Zahlenkolonnen in die Windows Zwischenablage kopiert (rechte Maustaste, Str C oder Taste C im Protokollfenster). 2. Die Kopie in das Eingabefeld eingefügen. Es ist unwesentlich, ob das Gleichheitszeichen incl. Ergebnis mit kopiert wird. 3. Ein Mausklick öffnet den nachfolgenden Editor. Die Daten aus dem Formelfenster werden automatisch übernommen. Die Korrektur kann hier erfolgen. Bei Bedarf kann der Editorinhalt jederzeit in einen der sechs Speicher gesichert werden. 4. Mit der OK-Taste kann die Korrektur (Modifizierung) abgeschlossen werden. Das Fenster wird geschlossen und der aktuelle Inhalt wird in das programmseitig bereits gelöschte Rechner- Eingabefeld kopiert. 5. Nach dem Start der Berechnung wird nun das (erwartetet) Ergebnis gezeigt (317,79; Zeile 16). Anmerkung: Sowohl die Protokoll- als auch die Spaltendarstellung können einzeln gedruckt bzw. gespeichert werden.
Anwendungsbereich: Taschenrechner
Anwendungsbereich: Taschenrechner
Der kleine Rechner beinhaltet im Funktionsbereich „Taschenrechner“ zwei unterschiedliche Rechensysteme.  Die hier aufgeführten Beispiele sind alle in Verbindung mit dem Taschenrechner ausführbar.    Der (klassischen) Taschenrechner berechnet Ausdrücke (Terme) ohne Lösungsvariablen. Hierzu zählen sowohl einfache Summenbildungen als auch komplexe geschachtelte Terme.   Alle Terme bzw. Rechenoperationen werden protokolliert.Die hier nachfolgend angeführten Beispiele können durch Kopieren und Einfügen direkt berechnet werden.     •	Rechenregeln - mathematische Hirachien •	Anmerkungen zur Potenzrechnungen •	Dezimalzahlen  (Gleitkommazahlen - Floating Point)     (Hinweis: Die Pfeile dienen auch als Links!)      1. Kopiereingabe:  Beispiel in Verbindung mit einer interessanten komplexen Gesamtformel. Allein diese Formel zu ergründen ist schon lohnenswert.     2. Fakultät:  Beispiel für den Umgang mit extrem großen Zahlen. Hier werden mit Größen operiert, die selbst durch Vergleiche mit dem Universum nicht mehr vorstellbar sind.      3. Korrektur einer (kaufm.) Addition:  Exemplarisches Beispiel zur Fehlerkorrektur einer Kolonnenaddition - Addierstreifen.       4. Binomialkoeffizient:  Eine der bekanntesten Anwendungen ist wohl die Berechnung der Anzahl der möglichen Zahlenkombinationen beim Zahlenlotto (Kombination ohne Wiederholungen).Als ein weiteres Beispiel werden hier exemplarisch die Berechnungen einzelner Koeffizienten eines Binoms vom Grade n erläutert.      5. Binomialverteilung - Bernoulli-Formel:  Die Bernoulli-Formel dient (u. a.) zur Berechnung der Mindestwahrscheinlichkeit. Am Beispiel eines klassischen „Urnenmodells“ wird die Anwendung ausführlich erläutert.      6. Verteilungsfunktion - Kumulierte Binomialverteilung:  Berechnungen für Fragestellungen wie: „Wie groß ist die Wahrscheinlichkeit, dass man wenigstens die Anzahl von a und maximal die Anzahl von b Treffern erzielt“ ? Weitere exemplarische Falldarstellungen werden hier ebenfalls übersichtlich erläutert und berechnet.       
Exemplarische Beispiele:
Exemplarische Beispiele:
Beispiel: Fakultäten
Beispiel: Fakultäten
Dieses Beispiel bezieht sich auf die Taschenrechneranwendung. Es dient auch zur Verdeutlichung von großen Zahlen anhand von n!: Aufgabe: In welchem Größenverhältnis steht die Länge von 25! km zum Durchmesser des Universums? Lösung: Das (beobachtbare) Universum hat einen Durchmesser von ca. 90 Milli- arden Lichtjahre (wikipedia - Radius > 45 Mrd. Lj.) Ein Lichtjahr = 300.000 km/s * 3600 s/h * 24 h/Tag * 365,25 Tage/Jahr = 3E5 * 3,6E3 * 24 * 365,25 * (km/s) * (s/h) * (h/Tag)* (Tage/Jahr) Durchmesser = 90.000.000.000 * ( 3E5 * 3,6E3 * 24 * 365,25 ) km/Jahr = 9E10 * ( 3E5 * 3,6E3 * 24 * 365,25 ) km = 8,520552E23 km! (Anmerkung: 9E10 * ( 3E5 * 3,6E3 * 24 * 365,25 ) kopieren und einfügen.) Das Universum hat einen Durchmesser von ca. 8,520552 E 23 km (also 852.055.200.000.000.000.000.000 km <=> 852,055 Trilliarden Kilometer)         Länge = 25! km         L = n!(25) km;         L = 1,5511210043331e25 km Die Länge 25! km beträgt 1,5511210043331 E25 km. Verhältnis L zu D:             L/D = n!(25) / 8,520552E23 (Anmerkung: auch der Ausdruck n!(25) / 8,520552E23 kann durch Kopieren berechnet werden!)             L/D = 18,2044661464785 Ergebnis: Die Strecke von 25! Kilometern ist mehr als 18 mal so lang wie der Durchmesser des Universums!
TOP TOP Beispiel: Kopiereingabe Beispiel: Kopiereingabe Anwendungsbereich: Taschenrechner Anwendungsbereich: Taschenrechner
Anhand der nachfolgenden Formel lassen sich die komfortablen Kopiereigenschaften in das Eingabefeld des Taschenrechners demonstrieren. Das Ergebnis einer anschließenden Berechnung dürfte bei manchem ungeübten Nutzer mehr als eine leichte Verwunderung erzeugen. Hinweis: Vorhandene Eingaben im Eingabefeld werden durch einen Kopiervorgang (sinnvollerweise) nicht gelöscht. Falls eine Neueingabe erfolgen soll, ist das Eingabefeld durch „Clear“ (z. B. Taste C, ein doppelter Mausklick im Eingabefeld oder die Eingabe eines Gitterkreuzes usw.) zu löschen. Das Kopierverfahren gilt natürlich auch für den Bereich „Funktionen“ (f:x->f(x)). Der nachfolgende Ausdruck soll lediglich die Leistungsstärke der „Copy and Paste“ Anwendung demonstrieren. Die verwendeten Terme sind aus mathematische Grundbeziehungen, z. B. aus dem Bereich der Trigonometrie, der Potenz- und Logarithmengesetze zusammengesetzt. Sie sollten sich eingentlich auch ohne Taschenrechner lösen lassen. Zur Fehlervermeidung muss jede Operation bzw. jeder Operator angegeben werden (Beispiel: 3*x ≙ 3x)! Die nachfolgende Formel entspricht der obigen Aufgabe. Unter Berüchsichtigung der Abarbeitungsregel „von links nach rechts“ in Verbindung mit der mathem. Hirachie müssen nicht alle Klammern verwendet werden. Anmerkung: sqr - sqare (Quadrat); sqrt - square root (Quadratwurzel) ⬅ sqr(2) ≙ 3 2 und sqrt(3) ≙ 3 0,5 (siehe auch: Definierte Funktionen und Fehlermeldungen - Abschnitt: Definierte Funktionen) Kopieren Sie den obigen grünen Term in die Taschenrechnereingabe und drücken Sie die Entertaste (Knickpfeiltaste) bzw. die Taste „=“. Der obige Term ist durch seine Schreibweise teilweise unübersichtlich. Durch zusätzliche Klammern und Leerzeichen läst sich der Term auch übersichtlicher gestalten. Es wird lediglich zwischen geöffneten und geschlossenen Klammern unterschieden. Die Formen der Klammern - ([{ bzw. )]} - sind bedeutungslos. Anmerkung: Terme können auch abschnittsweise als Teilterme berechnet werden. Auch der obige Ausdruck kann durch Kopieren komplette oder teilweise direkt in den Rechner eingegeben werden.
Beispiel: Korrekturen - Addierstreifen
Beispiel: Korrekturen - Addierstreifen
Anwendungsbereich: Taschenrechner
Anwendungsbereich: Taschenrechner
Die Bernoulli-Formel dient (u. a.) zur Berechnung der Mindestwahrscheinlichkeit. Hierbei gilt: n: Anzahl der durchzuführenden (unabhängigen) Versuche (n wird als Länge der Bernoulli-Kette bezeichnet) p: (Konstante) Wahrscheinlichkeit (für alle Versuche), dass das Ereignis eintritt k: Anzahl der erfolgreichen Versuche (Treffer) P(X=k) bedeutet, dass die Wahrscheinlichkeit für genau k Treffer gesucht wird. Aus einer Urne mit 800 schwarzen und 200 weißen Kugeln (also insgesamt 1000 Kugeln) werden nacheinander jeweils eine Kugel entnommen und anschließend wieder (in die Urne) zurückgelegt. Beispiel 1: Eine Fragestellung könnte nun lauten: Wie groß ist die Wahrscheinlichkeit, dass bei 10 Ziehungen nur ein einziges mal eine weiße Kugel gezogen wird (alle weiteren 9 gezogenen Kugeln sind schwarz)? Button: Bernoulli-Formel B(n,p;k) Werte: n = 10; p = 0,2 (1000 Kugeln, davon 200 weiße); k = 1 Ergebnis: B(10|0,2|1) = 0,268435456 Beispiel 2: Wie groß ist die Wahrscheinlichkeit, dass keine der weißen Kugeln gezogen werden? Die Anzahl der erwarteten Erfolge muss nun Null sein. Ergebnis: B(10|0,2|0) = 0,1073741824 Anmerkung: Rechner im Ausgabemodus „Technische Anzeige“ betreiben. Die „Kaufmännische Anzeige rundet auf zwei Stellen!
Beispiel: Bernoulli-Formel:
Beispiel: Bernoulli-Formel:
Anwendungsbereich: Taschenrechner
Anwendungsbereich: Taschenrechner
Binomialverteilung - Bernoulli-Formel:
Binomialverteilung - Bernoulli-Formel:
Beispiel Urnenmodell:
Beispiel Urnenmodell:
TOP TOP
Fragestellungen wie: „Wie groß ist die Wahrscheinlichkeit, dass man wenigstens die Anzahl von a und maximal die Anzahl von b Treffern erzielt“, führen auf die nachstehende Formel zurück. Die Verteilungsfunktion P( X ≤ b ) entspricht dem Sonderfall a=0, also P( 0 ≤ X ≤ b ) Anmerkung: Wie zu erkennen ist, entspricht die obere Formel für a=b als Sonderfall der Bernoullische Formel P( X = a ) = P( a ≤ X ≤ a ). Exemplarische Fallbetrachtungen: 1. genau a Treffer: P( X = a ) = P( a ≤ X ≤ a ) 2. weniger als a Treffer: P( X < a ) = P( 0 ≤ X ≤ a-1 ) 3. wenigstens a Treffer P( X ≥ a ) = P( a ≤ X ≤ n ) 4. mehr als a Treffer: P( X > a ) = P( a+1 ≤ X ≤ n ) 5. mindestens a und weniger als b Treffer: P( a ≤ X < b ) = P( a ≤ X ≤ b-1 ) 6. usw. Ergänzung: Die Wahrscheinlichkeit, dass jedes Ergebnis ein Treffer ist, liegt bei 1. Hieraus folgt: P( X ≤ a ) + P( X > a ) = P( 0 ≤ X ≤ n ) mit P( 0 ≤ X ≤ n ) = 1. Folglich gilt auch: Button für die Binomialverteilung SB(n|p|[a;b]) Aus einer Urne mit 800 schwarzen und 200 weißen Kugeln (also insgesamt 1000 Kugeln) werden nacheinander jeweils eine Kugel entnommen und anschließend wieder (in die Urne) zurückgelegt. Es sollen 50 Ziehungen stattfinden. In Anlehnung an die obigen exemplarischen Fallbetrachtungen könnten Aufgabenstellungen nun folgendermaßen lauten: Wie groß ist die Wahrscheinlichkeit, dass das Ereignis, eine weiße Kugel wird gezogen, eintritt? ( Anzahl Ziehungen: n = 50; konstante Wahrscheinlichkeit: p = 0,2 ) 1. genau 20-mal ↔ P( 20 ≤ X ≤ 20 ): oder, da Sonderfall ↔ P( X = 20 ): 2. weniger als 20-mal ↔ P( 0 ≤ X ≤ 20-1 ) ↔ P( X < 20 ): 3. wenigstens 20-mal ↔ P( 20 ≤ X ≤ 50 ) ↔ P( X ≥ 20 ): Betrachtungen: Fall 2 - Fall 3: Im Fall 2 „P( X < 20 )“ wird nach der Wahrscheinlichkeit, dass die Anzahl der Ereignisse unter 20 liegt, also kein Treffer ist ebenfalls ein gültiges Ereignis, gefragt. Im Fall 3 „P( X ≥ 20 )“ wird nach der Wahrscheinlichkeit, dass die Anzahl der Ereignisse bei wenigsten 20 liegen, gefragt. Nun gilt für jedes Ereignis, entweder es erfüllt den Fall 2 oder es erfüllt den Fall 3. Die Wahrscheinlichkeit muss demnach bei 1 liegen. Also: P( X < 20 ) + P( X ≥ 20 ) = 1; Rechn.: 0,999067563510579 + 0,000932436489421123 = 1 4. mehr als 20 mal ↔ P( 20+1 ≤ X ≤ 50 ): 5. mindestens 20 mal und weniger als 40 mal ↔ P( 20 ≤ X ≤ 40-1 ): Anmerkung: Rechner im Ausgabemodus „Technische Anzeige“ betreiben. Die „Kaufmännische Anzeige rundet auf zwei Stellen!
Page n+1 Page n+1 Page n-1 Page n-1
Beispiel: Binomialverteilung
Beispiel: Binomialverteilung
Anwendungsbereich: Taschenrechner
Anwendungsbereich: Taschenrechner
Binomialverteilung (kumulierte):
Binomialverteilung (kumulierte):
Beispiel zur Binomialverteilung - Urnenmodell:
Beispiel zur Binomialverteilung - Urnenmodell:
TOP TOP TOP TOP
P( X > a ) = 1 - P( X ≤ a )
Anwendungsbereich: Taschenrechner
Anwendungsbereich: Taschenrechner
Beispiel: Binomialkoeffizient
Beispiel: Binomialkoeffizient
Beim Binomialkoeffizienten handelt es sich um mathematische Funk- tionen, die u. a. in der Kombinatorik und Stochastik verwendet werden. Mit ihr können z. B. die Anzahlen der Möglichkeiten berechnet werden, um k Objekte aus einer Menge mit n Objekten anzuordnen. Eine der bekanntesten Anwendungen ist wohl die Berechnung der Anzahl der möglichen Zahlenkombinationen beim Zahlenlotto (Kombination ohne Wiederholung). Aufgabe Lottoziehung: Frage: Wie groß ist die Anzahl der Möglichkeiten, aus 49 Zahlen eine Kombination von sechs Zahlen zu bilden? Lösung: Die Anzahl beträgt „n über k“ Möglichkeiten. Für n = 49 und k = 6 lautet das Ergebnis: 13.983.816 Resümee: Es sind folglich 13.983.816 Lottofelder (ohne Fehler) auszufüllen, um gesichert einmal 6 richtige Zahlen zu haben. Selbst für „3 Richtige“ liegt die Anzahl der Möglichkeiten noch bei 18.424. Als ein Beispiel aus der elementaren Algebra wird hier die exemplarische Berechnung einzelner Koeffizienten c k eines Binoms vom Grade n erläutert. Der Binomischer Lehrsatz in der allgemeinen Form lautet: Für n=2 folgt hieraus die erste binomische Formel ( a + b ) 2 = a 2 + 2ab + b 2 . Der binomische Lehrsatz in der ausmultiplizierten Form: Berechnung einiger Koeffizienten: Für n = 50, also (a+b) 50 errechnen sich für die einzelnen (wahllos ausgesuchten) Koeffizienten c k  = bin( 50 | k) folgende Werte: c 0 = 1; c 3 = 19.600; c 4 = 230.300; c 50 = 1; c 47 = 19.600; c 46 = 230.300; c 10 = 10.272.278.170; c 15 = 2.250.829.575.120; c 20 = 47.129.212.243.960; c 40 = 10.272.278.170; c 35 = 2.250.829.575.120; c 30 = 47.129.212.243.960; c 25 = 126.410.606.437.752; Hinweis: Siehe hierzu auch das Beispiel zur Listenausgabe aller Koeffizienten eines Binoms vom Grade n im Abschnitt Anwendungsbeispiele 3, Beispiel Binomialkoeffizienten!
Beispiel - Algebra:
Beispiel - Algebra:
(a+b) n = c 0 a n b 0 + c 1 a (n-1) b 1 + c 2 a (n-2) b 2 + c 3 a (n-3) b 3 + … + c (n-2) a 2 b (n-2) + c (n-1) a 1 b (n-1) + c n a 0 b n
TOP TOP TOP TOP
Vollständige mathem. Darstellung:
Vollständige mathem. Darstellung:
TOP TOP
Für den kleinen Schulrechner gelten die normalen folgenden mathematischen Rechenregeln. Mit Ausnahme der führenden Vorzeichens sind die üblichen Abkürzungen, zum Beispiel für die verkürzte Darstellung einer Multiplikation, nicht zulässig. Rechenzeichen (Operatoren) müssen zu Gunsten einer eindeutigen Darstellung immer angeben werden. Beispiel: x*y*z für die Kurzschreibweise xyz. Bezüglich der Potenzrechnungen - Potenzieren von Potenzen - kann man im Netz unterschiedliche Deutungen finden. Der verkürzte Ausdruck a hoch b hoch c (also a^b^c) wird nach der Rechenregel - von links nach rechts auflösen - vom kleinen Rechner als (a b ) c gedeutet. Um eine eindeutige Formeldarstellung zu gewährleisten, wird empfohlen, für den verkürzten Ausdruck a^b^c die mathematisch vollständige Form (a^b)^c zu verwenden! Vorzeichen bei Potenzen beziehen sich auf den Potenzwert und nicht auf den Basiswert. Soll die Basis der Potenz mit einem Vorzeichen versehen werden, so ist diese zu klammern! Rechner bzw. Computer verfügen nur über eine endliche Anzahl von Speicherzellen. Dieses trift auch für das Rechenwerk ( ALU - arithmetic logic unit) zu, sodasss u. a. für eine Zahl nur eine gewisse Anzahl von Bit, z. B. 8, 16, 32 Bit usw., zur Verfügung steht. Dieses schränkt den Zahlenraum der ganzen Zahlen ein und führt bei rationalen und irrationalen Zahlen, dargestellt als Gleitkommazahlen (floating-point number), zu Problemen hinsichtlich der Genauigkeit. Zur Verbesserung der Ergebnisse werden aufwendige mathematische Verfahren angewendet. Dennoch lassen sich diese Fehler, die allgemein auch als Rundungsfehler bezeichnet werden, nicht immer ganz verhindern. Anmerkung: In diesem Zusammenhang soll hier vollständigerweise auch auf das Problem der Fehlerfortpflanzung hingewiesen werden. Zusammenfassung: Rundungsfehler entstehen in Computern u. a. durch die begrenzte Genauigkeit von Gleitkommazahlen, die zur Darstellung von nicht ganzzahligen Zahlen verwendet werden. Beispiel: Rechnung: 1-1/3*3 = 1,00001387379201E-15 Auswertung: 1,00001387379201E-15 = 0,00000000000000100001387379201 Der Rundungsfehler liegt hier im Bereich von einem Billiardstel! Zur Vorstellung: Der mittlere Abstand der Erde zur Sonne beträgt eine Astronomische Einheit (AE bzw. AU Astronomical Unit), also 149.597.870 km oder 149.597.870.000.000 mm! Bei einer Messung der mittleren Entfernung zwischen Erde - Sonne (149.597.870 km) würde der Messfehler ca. 0,15 mm betragen! Unter berücksichtigung der systembedingten Rundungsfehler gilt:
Rechenregeln - mathematische Hirachien
Rechenregeln - mathematische Hirachien
Anwendungsbereiche: Taschenrechner u. Funktionenrechner
Anwendungsbereiche: Taschenrechner u. Funktionenrechner
Mathematische Hinweise und Anmerkungen
Mathematische Hinweise und Anmerkungen
Anmerkungen zur Potenzrechnungen
Anmerkungen zur Potenzrechnungen
Potenzieren von Potenzen
Potenzieren von Potenzen
Potenzen mit negativen Vorzeichen
Potenzen mit negativen Vorzeichen
Beispiel - Kombinatorik:
Beispiel - Kombinatorik:
Kopierbeispiel (ab Vers. 3.12.xx):
Kopierbeispiel (ab Vers. 3.12.xx):
-a b = -(a b ) aber -a b ≠ (-a) b
Bei der Anwendung der Rechenregeln ist die folgende Reihenfolge in absteigender Priorität einzuhalten: 	1.	Klammern.  Ausdrücke (Terme) innerhalb der Klammern werden zuerst berechnet.  	2.	Potenzen.   	3.	Punktrechnung. Multiplikation und Division sind gleichberechtigt. 	4.	Strichrechnung. Addition und Subtraktion sind gleichberechtigt.  Eine Berechnung erfolgt von links nach rechts unter Beachtung der obigen Reihenfolgen (Hirachien)!  Rechenregeln: Rechenregeln:
Es gilt:  Beispiele:	 Formeln: 	(3^2)^4 =	3^(2^4) =  (Siehe auch Potenzgesetz - Potenzieren von Potenzen)
Reihenfolge beim Rechnen mit Potenzen Reihenfolge beim Rechnen mit Potenzen
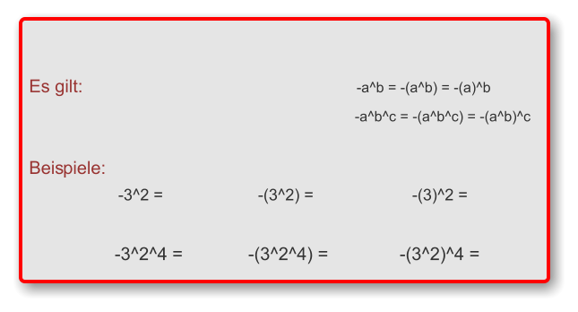
Es gilt:	-a^b = -(a^b) = -(a)^b 	-a^b^c = -(a^b^c) = -(a^b)^c  Beispiele: 	-3^2 =	-(3^2) =	-(3)^2 =   	-3^2^4 =	-(3^2^4) =	-(3^2)^4 =
Führende Vorzeichen bei Potenzen  Führende Vorzeichen bei Potenzen
Fehlerbetrachtung:
Fehlerbetrachtung:
Schlussfolgerung:
Schlussfolgerung:
TOP TOP
Mathematische Rechenregeln:
Mathematische Rechenregeln:
Dezimalzahlen (Gleitkommazahlen - Floating Point)
Dezimalzahlen (Gleitkommazahlen - Floating Point)
+
=
Beispiel - Term: Beispiel - Term:
10^(sqr(cos(2))+sqr(sin(2)))*7,5^tan(0)*2^ld(5) / (sin(1,5)^2+cos(1,5)^2) / (sqrt(625^0,25)^2*arsinh(sinh(3))/3) / 10^(cot(arccos(cos(n!(3)/6))+1)*tan(2)) / (-sin(arccos(0))^(1-Cos(5)^2)+2*cos(2)*tan(2)/sin(2)) + (ln(128)/ln(2)+arcosh(cosh(sqrt(log(64|4)^4)))) / -(4^0,5)^-log(16|0,5)
Kopierbarer Term: Kopierbarer Term:
{ [ [ [ 10^( cos(2)^2+sin(2)^2 ) * 7,5^tan(0) * 2^ld(5) / ( sin(1,5)^2 + cos(1,5)^2 ) ] / ( sqrt( 625^0,25 )^2 * ( arsinh( sinh( 3 )) /3 ) ) ] / 10^{ cot( arccos[ cos( n!(3) / 6 ) ] +1 ) * tan(2) } ] / [ -sin( arccos(0) )^( 1 - cos(5)^2 ) + 2*cos(2) * tan(2) / sin(2) ] } + { [ ln(128) / ln(2) + arcosh[ cosh{ sqrt( log(64|4)^4) } ] ] / [ -(4^0,5)^{ -log(16|0,5) } ] }
Kopierbarer Term: Kopierbarer Term:
copy and paste
copy and paste
Beispiele für den klassischen Taschenrechner (1) Beispiele für den klassischen Taschenrechner (1)